RAJGRÓD-WARSZAWA
RAJGRÓD-SUWAŁKI

Autobusem do Warszawy i Suwałk już od 13 grudnia 2024!
Nowa linia autobusowa Warszawa-Suwałki, Suwałki-Warszawa przez Rajgród! ![]()
Z radością informujemy, że już 13 grudnia rusza nowa linia autobusowa łącząca Warszawę z Suwałkami, z przystankiem w naszym malowniczym Rajgrodzie, Tamie oraz Bełdzie! ![]()
![]()
To świetna wiadomość dla wszystkich podróżujących – zarówno mieszkańców, jak i turystów, którzy szukają wygodnego połączenia na tej trasie.
W stronę Warszawy autobus z Suwałk ruszy o 06:50, w Rajgrodzie odjazd – 07:49 przyjazd do Warszawy – Dw. Zachodni o 12:00. Natomiast w kierunku Suwałk wyjazd z Warszawy Zachodniej nastąpi o 14:45 i w RAJGRODZIE odjazd – 18:55 i przyjazd do Suwałk 19.55.
Warszawa
07:49 Rajgród
Warszawa
07:53 Tama
Warszawa
07:57 Bełda
Suwałki
18:48 Bełda
Suwałki
18:51 Tama
Suwałki
18:55 Rajgród
RAJGRÓD-AUGUSTÓW

SZCZEGÓŁY POŁĄCZEŃ, CENY BILETÓW ORAZ ICH ZAKUP MOŻLIWY JEST POPRZEZ STRONĘ:
E-PODROZNIK.PL
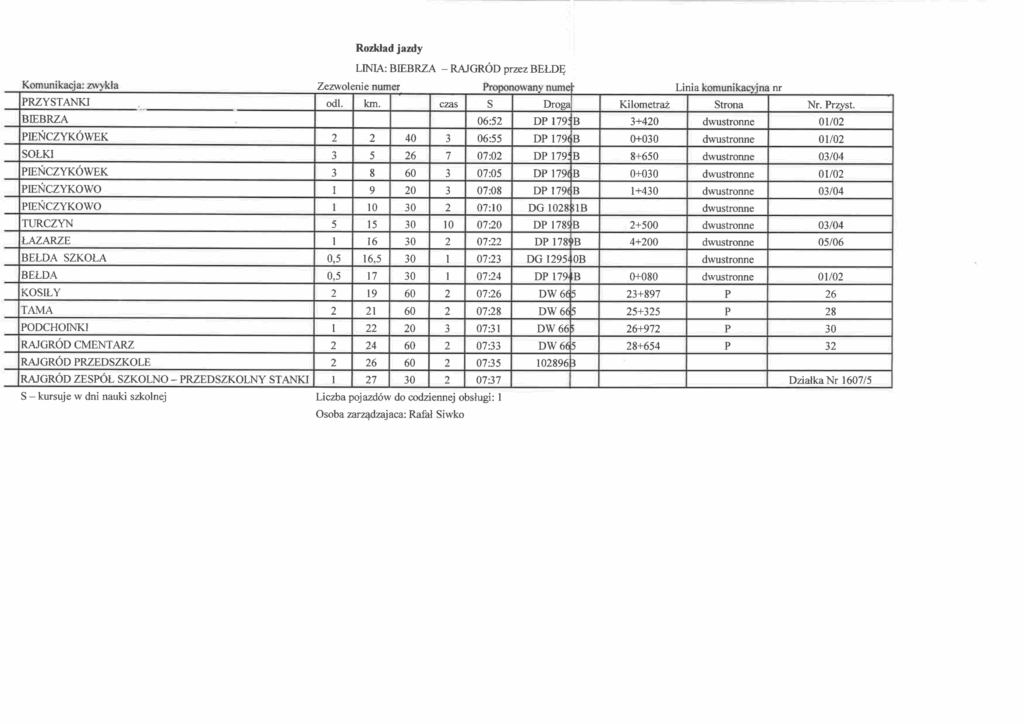
Rozkład jazdy autobusów – regularne przewozy osób w krajowym transporcie drogowym na terenie Gminy Rajgród











